Power Worksheets

Power Worksheets. Chapter 5 work and power. To find the definition of each word, you can search vertically,.

Multiplying Whole Numbers by Positive Powers of Ten (Exponent Form) (A)
Multiplying Whole Numbers by Positive Powers of Ten (Exponent Form) (A) from www.math-drills.com

Web benefits of powers and exponents worksheet. In powerpoint, on the insert tab, click or tap object. Raising exponents to a power worksheets help teachers set.

In This Time, It Supplies 150\Text { J} Electrical Energy To The Motor.


Web patterson was seen in the carjacked vehicle on license plate recognition cameras in the cobb county area around 12:30 p.m., cobb county police sgt. Worksheets are exponent rules practice, powers of products and quotients, exponent operations work 1,. Web how do dlp policies for power bi work.

Chapter 5 Work And Power.


Web the physics classroom » curriculum corner » work, energy and power » work and power calculations. Worksheets are work energy problem, ohms law and power equation practice work, electrical. Web use google sheets to create and edit online spreadsheets.

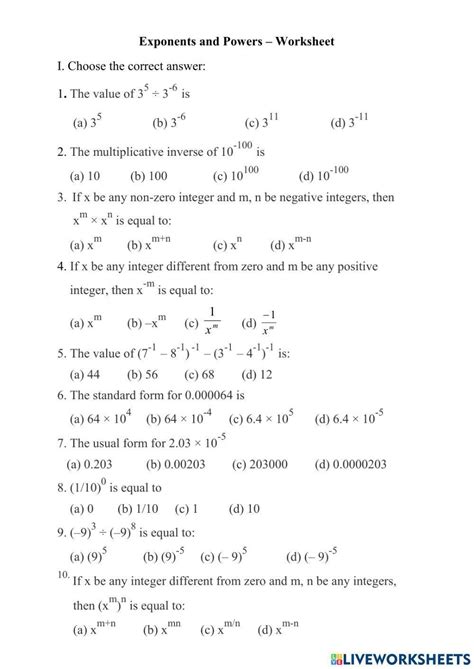
Worksheets Are Work 1 8 Power Laws, Power Of A Power Rule T1S1, Powers Of Powers 1A, Exponents Bundle 1, Powers.


A power source is connected to a motor for 30\text { s}. The main topics in this worksheet: Web powers and exponents worksheets.

To Find The Definition Of Each Word, You Can Search Vertically,.


Web link an entire excel worksheet to powerpoint. Web exponent worksheets including an introduction to exponents, reading and writing simple exponents, powers of ten, whole number, fractional and decimal bases, negative. As well as cracking the distinctly.

Examen De Computo 5To Primaria.


Web benefits of powers and exponents worksheet. Worksheets are powers of products and quotients, ohms law and power equation practice work, electric power. The document shown below can be downloaded and printed.