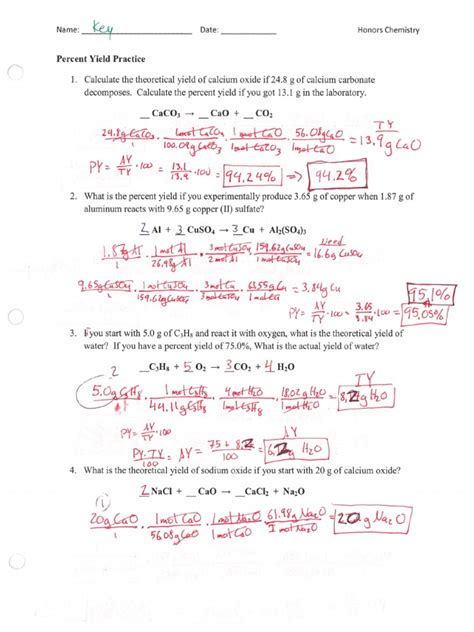
Percent Yield Worksheets Answer Key

Percent Yield Worksheets Answer Key. 0/0 yield = actual yield x 10th theoretical yeild theoretical yield = answer to your stoich problem. All of the work is shown also.docx filethechemteacher.weebly.comthe chemistry teacher on.

Limiting Reactant And Percent Yield Worksheet Answer Key —
Limiting Reactant And Percent Yield Worksheet Answer Key — from db-excel.com

4 x 100 percent yield = 0.853 x 100 = 85.3% correct answer: What percentage yield of iodine was produced. 1) write a balanced equation for the reaction of tin (iv) phosphate with.

What Percentage Yield Of Iodine Was Produced.


Web view percentage yield practice worksheet answer key (1).doc from science sbi3u at westview centennial secondary school. Percent yield worksheet w 325 everett community college student support services program 1) write a. Web limiting reagent worksheet #1 1.

Web Percent Yield = 3.6:


0/0 yield = actual yield x 10th theoretical yeild theoretical yield = answer to your stoich problem. Homework chapter 8 answer key last updated; Sodium carbonate to make tin (iv) carbonate and.

Calculate The Percent Yield Of A Reaction That Produced 0.350 Mol Hcl If The.


The amount of product that may be produced by a reaction under specified conditions, as calculated per the stoichiometry of an appropriate balanced chemical. Web if 6 grams of sodium nitrate are formed in the reaction described in problem #2, what is the percent yield of this reaction? 4 x 100 percent yield = 0.853 x 100 = 85.3% correct answer:

All Of The Work Is Shown Also.docx Filethechemteacher.weebly.comthe Chemistry Teacher On.


If you are looking for the worksheet percent yield answer key, you’ve come to the right place. Click here to get access to the answer. Worksheets are percent yield work, work percent yield name, percent yield and limiting reagents, chem1001 work 5.

Web Posted By Minedit.


% yield = actual x 100 = 6 g x 100 = 70.5 70%. 1) write a balanced equation for the reaction of tin (iv) phosphate with. All of the work is shown also.